新闻中心

N
ews

最全丨清华、北大、哈工大等19校强基计划入围分数线出炉!附入围查询通道!

2020-07-30点击:1965

目前,所有省份高考成绩全部出炉,以清北为代表的多所高校也发布了2020强基计划入围线和入围名单,下面来看具体信息:

清华大学

清华强基分数线

北京大学

北京大学2020强基计划入围结果查询截图

北京大学2020年强基计划入围结果和测试安排已经公布,北京大学2020年强基计划信息平台查询。

查询网址(复制到浏览器打开):

https://www.ccuut.edu.cn/admission_pku_qjjh/login.php

北大强基分数线

中国人民大学

根据各省招办提供的高考成绩,按照我校招生简章,现已确定各省入围校测名单。考生可登录我校强基计划报名平台查询结果,各省分科类入围分数线详见附件。

查询网址(复制到浏览器打开):

https://bm.chsi.com.cn/jcxkzs/sch/10002

入围考生可于27日下午登录我校强基计划报名平台打印准考证,下载《测试指南》,查看后续环节相关安排。

中国人民大学2020年强基计划各省分科类入围分数线

四川大学

我校将在四川大学本科招生网(http://zs.scu.edu.cn/)陆续公布四川大学强基计划各省入围校测分数线(第一批公布的分数线附后),考生可根据分数线判断自己是否入围校测,并做好校测准备。

7月27日起,考生可登陆四川大学强基计划报名平台(https://bm.chsi.com.cn/jcxkzs/sch/10610)“我的志愿”栏目查询入围结果,凡是入围四川大学强基计划校测的考生,需在校测前下载打印准考证。

8月1日上午7:30-8:30,入围考生统一由望江校区北门(一环路南一段24号)进入校园,集中乘车前往基础教学楼A座考场参加校测。

强基计划入围分数线

武汉大学

请参加测试的考生于2020年7月26日20:00至7月28日12:00期间登录武汉大学本科招生服务系统(http://bkzs.whu.edu.cn)缴纳测试费用,登录系统时输入考生身份证号,初始密码为考生在我校强基计划报名系统注册的手机号码。缴费成功后于7月28日12:00至7月29日12:00自行打印准考证。我校不提供其他缴费途径,未在规定时间内缴费者视为放弃考试资格。

考生须按准考证上的要求,持本人身份证(或临时身份证,其他证件无效)和准考证来校参加测试。未按要求参加测试者视为放弃考试资格。测试分体育测试和综合能力测试两个环节,分别于2020年7月31日下午和8月1日全天在我校进行,具体时间地点见准考证。

武汉大学强基计划入围分数线

大连理工大学

我校根据各省招办提供的考生高考成绩,按照《大连理工大学2020年强基计划招生简章》中确定的校考入围办法确定各省各专业入围名单。考生可登录我校强基计划报名平台(https://bm.chsi.com.cn/jcxkzs/sch/10141)查询入围结果,各省各专业入围分数线见附件1。如对入围结果有异议,请于7月28日17:00以实名方式向我校招生办公室反映,联系电话为:0411-84708375。

强基计划入围分数线

华中科技大学

根据《华中科技大学2020年强基计划招生简章》及各省招办反馈的考生高考信息,我校2020年强基计划入围校考名单已公布,考生可通过“华中科技大学强基计划报名系统”(https://bm.chsi.com.cn/jcxkzs/sch/10487)查询入围结果。

我校面试及体测时间安排在7月31日,入围考生须仔细阅读华中科技大学强基计划测试方案,按照时间安排进行准考证打印,并根据防疫要求做好相关准备。

如有疑问请及时与我校招生办公室取得联系,联系电话:027-87542228、87559946。

国防科技大学

中山大学

根据《中山大学2020年强基计划招生简章》规定,我校依据考生高考成绩(不含任何政策加分),按分省招生计划数的4倍确定各省入围考核考生名单(同分考生按排位进行比较),现将入围标准公布如下。考生可登录报名平台查询本人入围结果。我校将于7月31日于广州校区南校园组织考核,准考证信息及考核其他事宜安排将另行通知,请入围考生留意本网站招生公告。

强基计划入围分数线

华南理工大学

按照《华南理工大学2020年强基计划招生简章》、考生高考文化成绩(不含任何政策加分),结合我校在各省招生专业计划数,按照1:4的面试比例,我校招生工作领导小组审核并确定了各省入围考核考生名单(末位高考文化成绩同分考生都予以公布入围)。

强基计划入围分数线

西北工业大学

根据教育部相关文件和我校2020年强基计划招生简章要求,根据各省教育考试院高考成绩公布结果,确定强基计划面试考核入围分数线,现公布如下:

电子科技大学

我校已在本科招生网(网址:http://zs.uestc.edu.cn/)公布电子科技大学强基计划各省入围考核分数线,考生可根据分数线判断自己是否入围考核,并做好考核准备。

7月27日起,考生可登陆电子科技大学强基计划报名平台

(https://bm.chsi.com.cn/jcxkzs/sch/10614),在“我的志愿”栏目查询入围结果,凡是入围电子科技大学强基计划考核的考生,需考核前在此平台下载并打印准考证。

其他相关考核通知,请考生随时关注我校本科招生网相关通知。

强基计划入围分数线

东南大学

我校2020年强基计划入围高校考核结果已公布,初审通过的考生可登录东南大学强基计划报名平台(https://bm.chsi.com.cn/jcxkzs/sch/10286)查看入围情况。

根据《东南大学2020年强基计划招生简章》规定,我校依据高考成绩,按照“分数优先、遵循志愿”的原则,按考生所在省份各专业计划数的 4 倍分别确定各专业入围高校考核考生名单(末位同分均入围)。

厦门大学

厦门大学2020年强基计划入围考核的考生名单已公布,考生可登录报名平台(网址:https://bm.chsi.com.cn/jcxkzs/sch/10384)查询本人入围结果。根据《厦门大学2020年强基计划招生简章》,依据高考成绩,以我校在相关省份强基计划分专业招生计划数的3倍,按照专业优先的原则确定入围考生名单以及考核专业,同分考生按简章公布的排序原则进行排序。

入围考生应于考前登录厦门大学考试中心缴费系统缴交报考费。报考费每位考生170元(闽价函〔2018〕364号),缴费网址:

https://examination.xmu.edu.cn/pay/login/

厦门大学强基计划入围标准

哈尔滨工业大学

根据我校2020年强基计划简章要求,对于报名我校强基计划的第一类考生,高考成绩(不含任何政策加分,下同)达到所在省(自治区、直辖市)第一批本科录取控制分数线的前提下,按我校分省分专业计划数的4倍依据“专业志愿优先”的原则确定入围考生名单和入围专业(如存在高考成绩同分情况,依次比较数学、理科综合、语文、外语单科成绩,高考综合改革省份依次比较数学、语文、外语单科成绩)。

强基计划入围标准

吉林大学

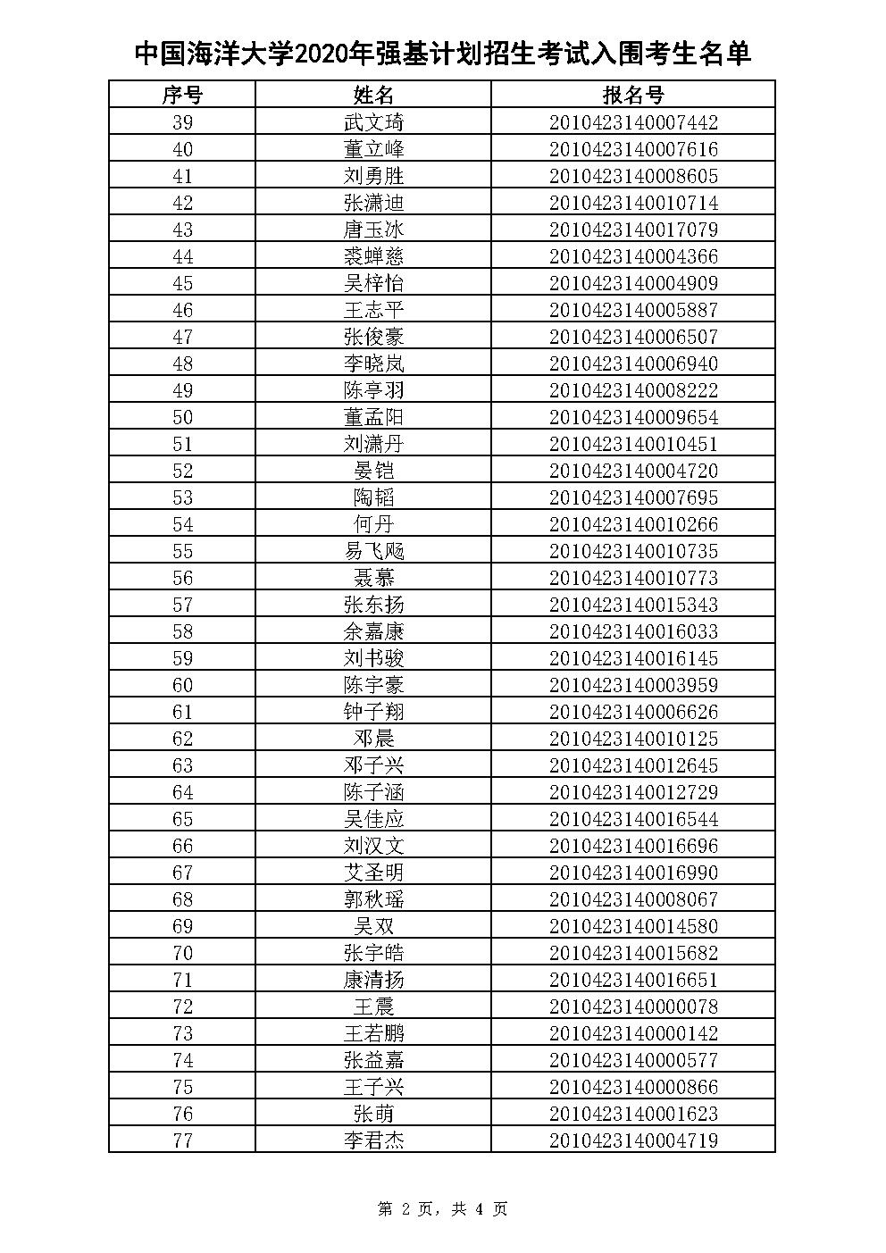
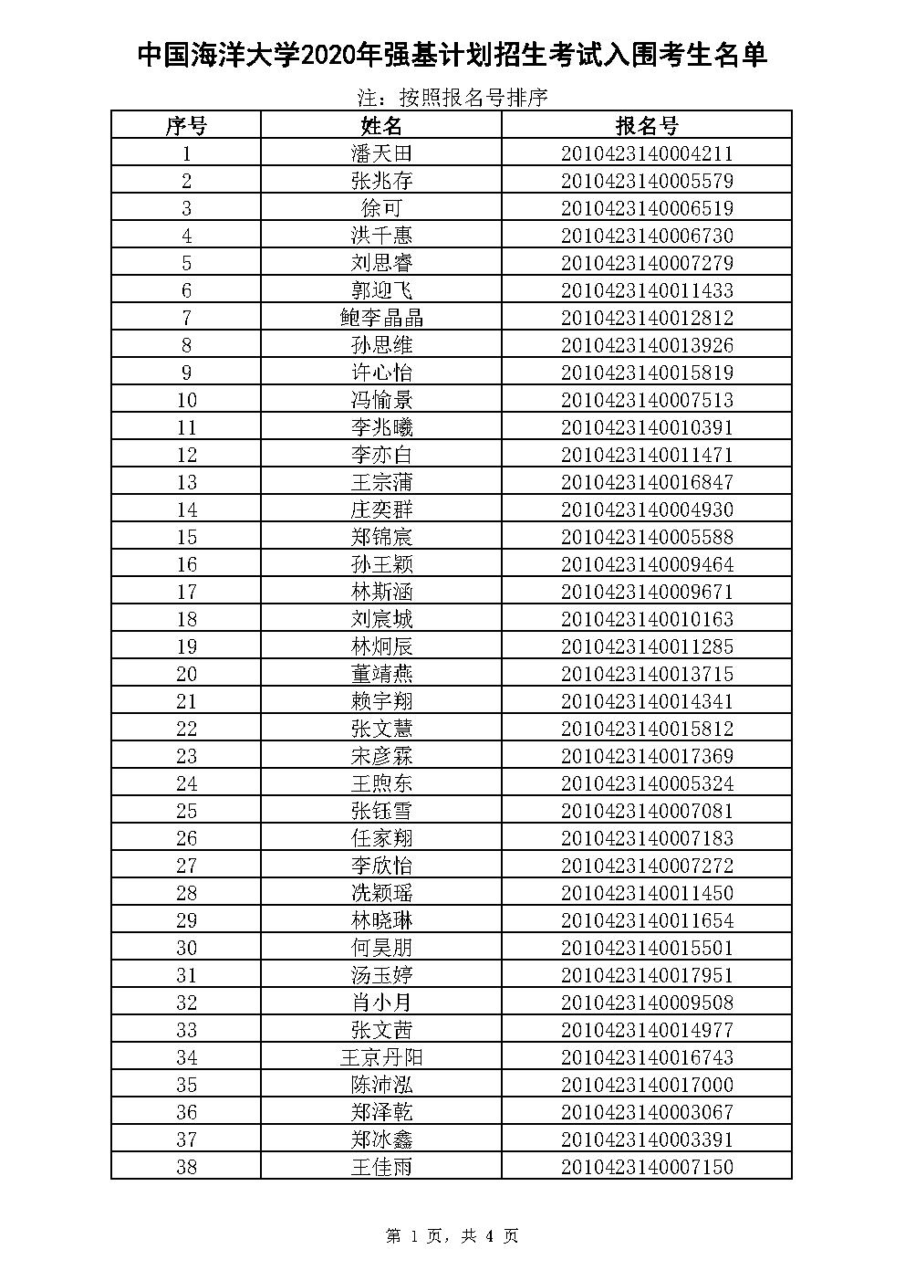
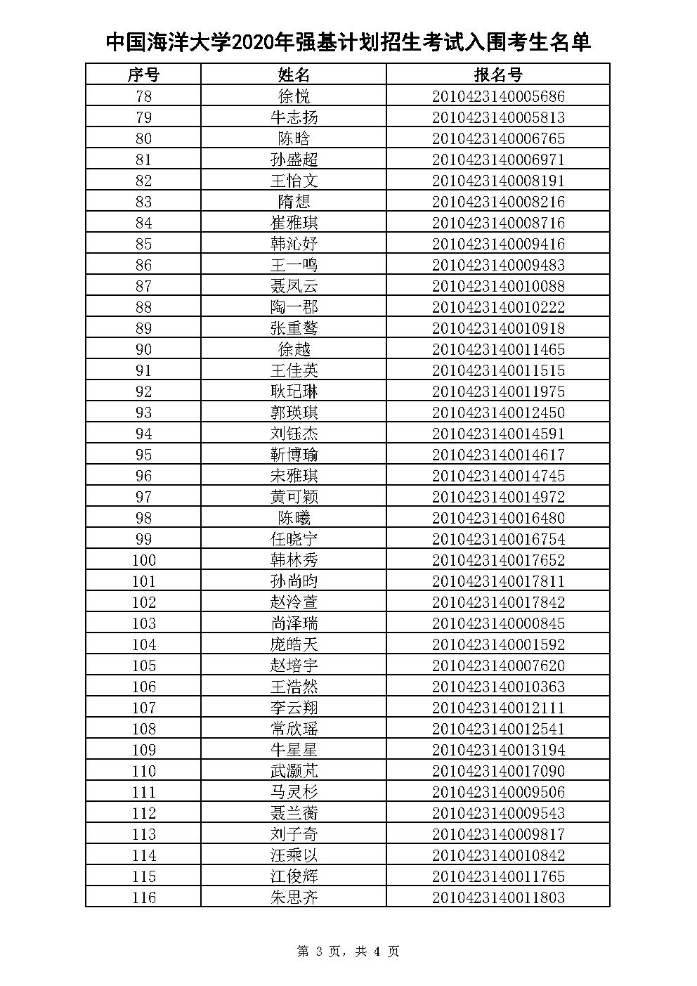
中国海洋大学

我校拟于2020年8月1日在中国海洋大学崂山校区开展强基计划招生现场考核,考核方式为面试,因疫情防控需要,本次考核取消体育测试环节。为保障考生志愿填报、录取相关权益,请确认放弃我校入围资格的考生务必按照附件二要求将《考生自愿放弃入围资格承诺书》,于7月28日12点前报送至中国海洋大学本科生招生办公室。如拟放弃入围资格的考生未按要求将承诺书及时报送,可能影响后续志愿录取,由此产生的后果完全由考生本人承担。

入围分数线

兰州大学

考核时间:现定于2020年7月30日-7月31日举行。

考核方式:无疫情中高风险区的省份实行线下考核,有疫情中高风险区的省份实行线上考核。

目前,对新疆维吾尔自治区、辽宁省的考生统一采用线上考核的方式,考核时间暂定为2020年7月31日晚,考生须确保报名系统中填写的手机保持畅通,按要求提前进行远程面试平台测试并按时参加线上考试。

如疫情发生变化,我校将针对相关省份统一采用线上考核的方式,届时将另行通知。

考核内容:面试。鉴于疫情发展,结合考核工作实际,2020年强基计划招生统一不再进行体育测试,考核办法(体育素质测试方案及成绩使用方法、考核成绩折算办法)和录取办法不再对体育测试成绩进行要求。

线下考核地点:兰州大学城关校区东区杏林楼,具体地点见准考证。

北京理工大学

北京理工大学“强基计划”综合素质测试时间为2020年8月1日,在中关村校区进行现场考核;辽宁、新疆考生将采取线上网络远程面试,具体安排另行通知,请相应考生确保“强基计划”报名系统预留手机号码有效,如手机号码信息有变更,请及时联系我办。考虑到疫情防控的原因,尽量避免人群聚集,取消原定的体育测试环节。

北京理工大学2020年“强基计划”分省入围标准

其他高校

根据目前公布信息来看,基本上所有高校的入围名单都会在对应的报名系统中公布,考生可自行登录报名系统查询是否入围。

各校查询查询网址如下:

北京大学:

https://bm.chsi.com.cn/jcxkzs/sch/10001

中国人民大学:

https://bm.chsi.com.cn/jcxkzs/sch/10002

清华大学:

https://bm.chsi.com.cn/jcxkzs/sch/10003

北京航空航天大学:

https://bm.chsi.com.cn/jcxkzs/sch/10006

北京理工大学:

https://bm.chsi.com.cn/jcxkzs/sch/10007

中国农业大学:

https://bm.chsi.com.cn/jcxkzs/sch/10019

北京师范大学:

https://bm.chsi.com.cn/jcxkzs/sch/10027

中央民族大学:

https://bm.chsi.com.cn/jcxkzs/sch/10052

南开大学:

https://bm.chsi.com.cn/jcxkzs/sch/10055

天津大学:

https://bm.chsi.com.cn/jcxkzs/sch/10056

大连理工大学:

https://bm.chsi.com.cn/jcxkzs/sch/10141

吉林大学:

https://bm.chsi.com.cn/jcxkzs/sch/10183

哈尔滨工业大学:

https://bm.chsi.com.cn/jcxkzs/sch/10213

复旦大学:

https://bm.chsi.com.cn/jcxkzs/sch/10246

同济大学:

https://bm.chsi.com.cn/jcxkzs/sch/10247

上海交通大学:

https://bm.chsi.com.cn/jcxkzs/sch/10248

华东师范大学:

https://bm.chsi.com.cn/jcxkzs/sch/10269

南京大学:

https://bm.chsi.com.cn/jcxkzs/sch/10284

东南大学:

https://bm.chsi.com.cn/jcxkzs/sch/10286

浙江大学:

https://bm.chsi.com.cn/jcxkzs/sch/10335

中国科学技术大学:

https://bm.chsi.com.cn/jcxkzs/sch/10358

厦门大学:

https://bm.chsi.com.cn/jcxkzs/sch/10384

山东大学:

https://bm.chsi.com.cn/jcxkzs/sch/10422

中国海洋大学:

https://bm.chsi.com.cn/jcxkzs/sch/10423

武汉大学:

https://bm.chsi.com.cn/jcxkzs/sch/10486

华中科技大学:

https://bm.chsi.com.cn/jcxkzs/sch/10487

中南大学:

https://bm.chsi.com.cn/jcxkzs/sch/10533

国防科技大学:

https://bm.chsi.com.cn/jcxkzs/sch/91002

中山大学:

https://bm.chsi.com.cn/jcxkzs/sch/10558

华南理工大学:

https://bm.chsi.com.cn/jcxkzs/sch/10561

四川大学:

https://bm.chsi.com.cn/jcxkzs/sch/10610

电子科技大学:

https://bm.chsi.com.cn/jcxkzs/sch/10614

重庆大学:

https://bm.chsi.com.cn/jcxkzs/sch/10611

西安交通大学:

https://bm.chsi.com.cn/jcxkzs/sch/10698

西北工业大学:

https://bm.chsi.com.cn/jcxkzs/sch/10699

兰州大学:

https://bm.chsi.com.cn/jcxkzs/sch/10730

来源:名校升学圈