高考卷面75分,实际上竟是80分?不了解新高考“等级赋分”的考生要吃大亏!
2021-03-29点击:2326
2021年,河北、辽宁、湖北、湖南、重庆、江苏、福建、广东8省(市)将举行首次新高考,正式采用“3+1+2”模式,即:新高考总成绩(满分750分)=统一高考科目成绩(450分)+选考科目成绩(300分)。
在这个模式下,选考科目采取的是“等级赋分”模式,每门科目满分100分。其中,物理、历史科目以原始分计入高考总分;其余科目以等级分计入高考总分。
问题来了,“等级赋分制”究竟是什么?对高考成绩有何影响?如何进行等级赋分换算?小编今天给大家详细解读一下。
等级赋分制是新高考改革的一项重要制度,指利用一定的公式和算法,将化学、生物、政治、地理四门选考科目的原始卷面分数进行排名等级转换,然后按照等级给予相应的分数。
也就是说,等级赋分制不是按照考生的卷面分数来计算成绩,遵循的是“原始分数——百分比例——等级——转化分数”的等级赋分路径。
听上去似乎难以理解。别担心,后文我们将详细地把公式和算法呈现给大家。
另外值得注意的是,新高考的等级赋分由相关主管部门自动完成,不需要自行换算,考生们所看到的高考成绩,就是赋分后的分数。
高考改成六选三随便组合,选科组合太多,学生之间不方便直接比较。
另外,高校在录取时,学生之间因选科不同不能直接用卷面分比较。
小向和小标同时报考某高校,该高校要求必考科目为物理。
小向选考科目为物理、化学、历史;小标为物理、历史、地理。
本次考试中,两名同学的语数英和物理、历史总分相差不大,而由于地理难度低,化学难度高,选地理的小标卷面分有90分,选化学的小向只取得了70分。
这种情形下,若单纯比较卷面分数,选化学的小南则大有可能落选,不能保证高考的公平性。
而如果用这几门成绩在所有考生中的百分比来计算分数,将不同科目的原始分按照一定规则进行转换,让不同科目之间的原始分变成具有可比性的分数,能最大抹平由于学科难度差异带来的不公平现象。
第三批高考改革省份改革方案一致,赋分规则一致:以等级分计入高考总分的某一科目,考生相应科目的合格性考试成绩达到合格后,转换时赋分起点为30分。
具体转换步骤如下:
1. 按照考生原始分从高到低划定A、B、C、D、E共五个等级,各等级人数所占比例分别为15%、35%、35%、13%和2%,从而将考生的原始分转换成了等级。
2. 将A至E五个等级内的考生原始分,按照等比例转换法则,分别对应转换到100~86、85~71、70~56、55~41和40~30五个分数段,得到考生的转换分,从而将考生的等级转换成了等级分。
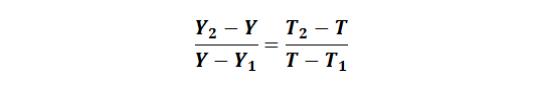
转换公式:
其中:
Y表示原始分;
T表示转换分;
Y1、Y2分别表示原始分区间的下限和上限;
T1、T2分别表示转换分区间的下限和上限。
再举个例子
小风同学政治科目原始卷面分为75分,根据原始分排名,划定为B等级,赋分区间为85~71;
将相应分数代入转化公式,则小风同学的政治科目转化分为:
解得,T≈ 80(四舍五入取整),即小风同学政治科目等级分为80分。
如前文所说,高考中的等级赋分由相关部门完成,无需家长和考生自行转换。而在平时的考试中,赋分同样重要。
对于高一高二学生来说,学生选择参加高考的科目理论上是在高考之前都可以改变的,在这个阶段对自己的赋分等级有一个大致的了解,帮助了解自己各科的水平是在哪一个等级,选择自己有利学科,尽早决定自己的选科方向。
对于高三学生来说,虽然不再建议学生更改选科,但了解自己选科的等级赋分分数,更方便学生估分衡量自己与目标大学的差距。
分数不再所见即所得,若每次都要按照一定的算法和公式自行换算,实在有些麻烦。
“赋分计算器”
让平时的考试赋分不再成为难点!
赋分计算器由风向标教育特别研发,针对实行“3+1+2”规则的新高考省份,制定了一套智能算法,考生们只需提供考试数据,即可知晓学科赋分以后的分数。
赋分计算器使用方法非常简单:
第一步:选择参加高考省份;
第二步:填写基础信息(选择学校、选考科目、考试成绩、单科年级排名、科目总人数)。


有了以上数据,系统根据独特算法一秒赋分,考生立刻知晓。
在下周更新的“赋分计算器”中,家长和考生在赋分完成后还可解锁提升报告,获取科学的选科建议,并结合报考数据分析和热门选科点评,进行热门专业推荐。让考生们不再为选科选专业困扰,家长们也不再茫然焦虑。



目前,“赋分计算器”已正式上线,家长和考生们可通过“知了家长”进入。从此让赋分不再成为难点,让赋分为科学选科、选专业提供精准指导!
END
部分内容来源 | 江苏省高等学校招生委员会文件