新闻中心

N
ews

风向标教育再创押题神话,成功预测高考数学真题!

2020-07-09点击:2835

2020高考数学,风向标教育又双叒叕押中真题,用实力证明我们的专业!

我们之所以能够精准预测,是因为我们通过大数据技术将资源充分整合与人工智能技术精准的把握时代的脉搏,最终让我们在押题过程中一击命中!

1

高考真题丨全国Ⅲ卷文科16题、理科15题

知心慧学题丨《高考探源》立体几何专题卷第5题

对比点评

1.真题与知心慧学题题设、数据及答案都完全一致,都是考查了立体几何中圆锥内切球体积问题;

2.真题设问圆锥内半径最大的球即为圆锥内切球,知心慧学题是直接设问圆锥的内切球,两者完全一样;

3.都是利用截面思想将空间几何问题转化成平面几何问题,此亦是解决该类问题的关键;

4.均考查了转化与化归数学思想,直观想象、数学运算等数学素养。

2

高考真题丨全国Ⅱ卷理科17题

知心慧学题丨《高考探源》三角函数与平面向量专题卷第20题

对比点评

1.真题与知心慧学题题干条件完全一样,只是用了不同的字母表示;

2.都是考查了正弦定理,余弦定理的应用,所涉及的知识方法完全相同;

3.设问的形式相同,第一问求解过程一致,第二问的解题思路一致;

4.均考查了考生对数学运算的掌握程度。

3

高考真题丨新高考山东卷第11题

知心慧学题丨《高三同步分层单元卷》第十三单元 不等式(文科基础版)第11题

对比点评

1、两题题设一致,都是考查基本不等式;

2、利用基本不等式的概念是解决此类问题的关键;

3、均考查了转化与化归数学思想,数学运算等数学素养。

4

高考真题丨新高考山东卷第13题

知心慧学题丨圆锥曲线专题(理科)

对比点评

1.两题都是考查过焦点的直线与抛物线的位置关系结合

2.都是利用抛物线的定义求弦长,

3.都是借助直线的倾斜角与平面几何的知识相结合求解,

4.题中给出的抛物线方程以及最后求解的结果答案均相同.

5

高考真题丨全国Ⅰ卷文科第16题

题目来源丨知心慧学题库492752

对比点评

1.两道题都是主要考查数列的递推公式

2.两题都考查的学生的递推思想和数据处理能力

3.两题都结合数列求和进行了考查

4.两题相似度95%

6

高考真题丨新高考山东卷第7题

知心慧学丨小题限时练5----全国Ⅲ卷(文科)

对比点评

1.两题题设都是以多边形为背景,考查了平面向量的数量积的运算;

2.真题设问是求数量积的取值范围,而题库中的题是求数量积的具体取值;

3.利用题干中多边形的结构特征建立适当的平面直角坐标系是解决此类问题的关键;

4.均考查了数形结合的思想,数学运算及公式应用的数学素养。

7

高考真题丨海南卷第21题

知心慧学题丨名师猜题

对比点评

1.设问相同,求椭圆方程、椭圆上动点从而求面积的考查,相似度高度一致;

2.在学科知识点方面两者相似,统一对椭圆方程求解;

3.在学科素养方面都是对数学运算、数学建模的考查;

4.命题思路都是注重考生对椭圆模型的理解,利用椭圆上动点求解面积。

8

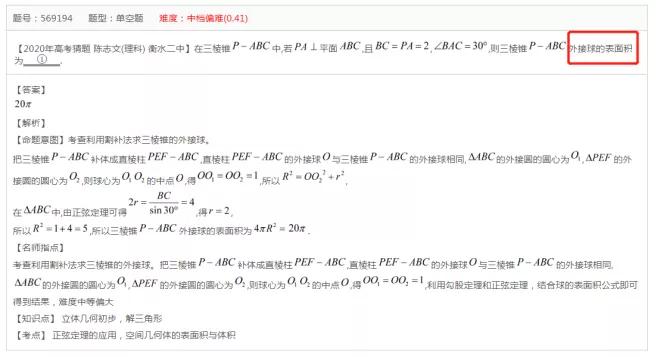
高考真题丨全国Ⅰ卷理科第10题

知心慧学题丨名师猜题

对比点评

1.设问比较相似,都是对外接球表面积的考查;

2.在学科知识点方面两者相似,都是对三棱锥与三角形外接球表面积求解,点到面的距离的考查;

3.在学科素养方面都是对逻辑推理、直观想象的考查。

9

高考真题丨全国Ⅰ卷理科第4题

知心慧学题丨知心慧学题库558362

对比点评

1.两题都是对抛物线定义与方程的考查

2.两题都考查了学生对基础知识的掌握能力

3.两题都是求解抛物线的方程(求)

4.两题相似度95%

10

高考真题丨全国Ⅰ卷理科第3题

知心慧学题丨名师猜题

对比点评

1.两者考查背景相似,都是对胡夫金字塔的考查;

2.在学科知识点方面两者相似,都有对四棱锥的高求解;

3.在学科素养方面都是对逻辑推理、直观想象的考查;

4.命题方法都是注重考生对实际问题模型的理解。

11

高考真题丨新高考山东卷第2题

知心慧学题丨小题限时练----全国Ⅲ卷(文科)

对比点评

1.两题题设、数据完全一致,都是考查了复数的四则运算;

2.掌握复数的四则运算法则是解决此类问题的关键;

3.两题均考查了数学运算的数学素养。

◆ ◆ ◆ ◆ ◆

未来,我们将持续为各位用户提供最专业的服务与最精准的引领,帮助各位解决在学校过程中遇到的所有困惑!

风向标教育——用互联网让教育变得更美!